SDSSJ144342.78+035813.0
Sky Viewer
Images & Catalogs
Group Properties
SGA ID of Primary Galaxy |
Group Name | Group RA (degree) |
Group Dec (degree) |
Group Diameter (arcmin) |
Mosaic Diameter (arcmin) |
Number of Group Members |
---|---|---|---|---|---|---|
169437 | SDSSJ144342.78+035813.0 | 220.9282530 | 3.9703858 | 0.378 | 1.133 | 1 |
Group Members
SGA ID | Galaxy | Visual Morphology |
RA (degree) |
Dec (degree) |
HyperLeda |
---|---|---|---|---|---|
169437 | SDSSJ144342.78+035813.0 | 220.9283197 | 3.9700477 | Link |
Image Mosaics
Color mosaics showing the data (left panel), model (middle panel), and residuals (right panel).
![]() |
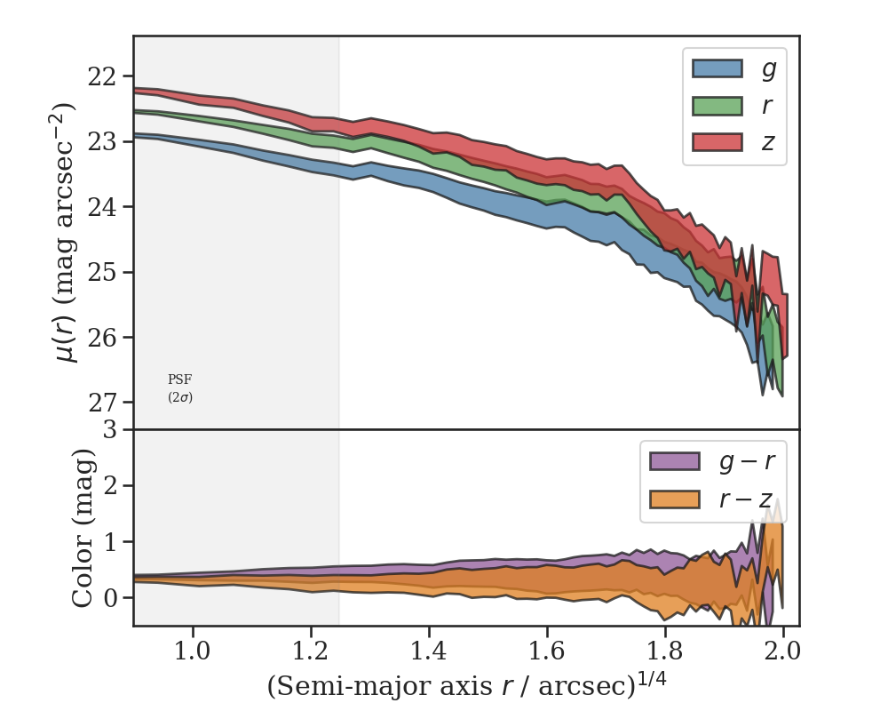
Elliptical Isophote Analysis
Geometry
This table provides several different measurements of the geometry and size of each galaxy.
Tractor |
HyperLeda |
Ellipse Moments |
Surface Brightness Threshold Radii (arcsec) |
Half-light Radii (arcsec) |
||||||||||||||
---|---|---|---|---|---|---|---|---|---|---|---|---|---|---|---|---|---|---|
SGA ID | Galaxy |
Type | n | r(50) (arcsec) | PA (degree) | e | R(25) | PA (degree) | e |
Size (arcsec) | PA (degree) | e |
R(24) | R(25) | R(26) |
g(50) | r(50) | z(50) |
169437 | SDSSJ144342.78+035813.0 | SER | 0.64 | 5.381 | 0.8 | 0.698 | 11.327 | 0.1 | 0.687 | 8.597 | 3.1 | 0.662 | 7.688 | 12.533 | 14.842 | 13.461 | 12.854 | 8.058 |
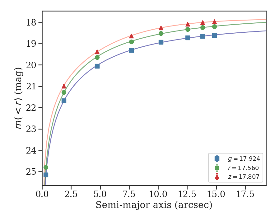
Photometry
This table provides the Tractor model photometry and the cumulative flux measured within the R(24), R(25), and R(26) radii (corresponding to the semi-major axis length of the galaxy at the 24, 25, and 26 magnitude per square arcsec surface brightness threshold, respectively).
Curve of Growth Photometry | ||||||||||||||||
---|---|---|---|---|---|---|---|---|---|---|---|---|---|---|---|---|
Tractor Photometry | < R(24) | < R(25) | < R(26) | Integrated | ||||||||||||
SGA ID | Galaxy | g | r | z | g | r | z | g | r | z | g | r | z | g | r | z |
169437 | SDSSJ144342.78+035813.0 | 18.728 | 18.376 | 18.168 | 19.315 | 18.909 | 18.643 | 18.729 | 18.324 | 18.074 | 18.608 | 18.202 | 17.968 | 17.924 | 17.560 | 17.807 |
SDSSJ144342.78+035813.0 (SGA ID 169437)
![]() |
|
![]() |
![]() |