PGC965551
Sky Viewer
Images & Catalogs
Group Properties
SGA ID of Primary Galaxy |
Group Name | Group RA (degree) |
Group Dec (degree) |
Group Diameter (arcmin) |
Mosaic Diameter (arcmin) |
Number of Group Members |
---|---|---|---|---|---|---|
169822 | PGC965551 | 28.7390415 | -11.4558611 | 0.427 | 1.280 | 1 |
Group Members
SGA ID | Galaxy | Visual Morphology |
RA (degree) |
Dec (degree) |
HyperLeda |
---|---|---|---|---|---|
169822 | PGC965551 | 28.7388847 | -11.4560541 | Link |
Image Mosaics
Color mosaics showing the data (left panel), model (middle panel), and residuals (right panel).
![]() |
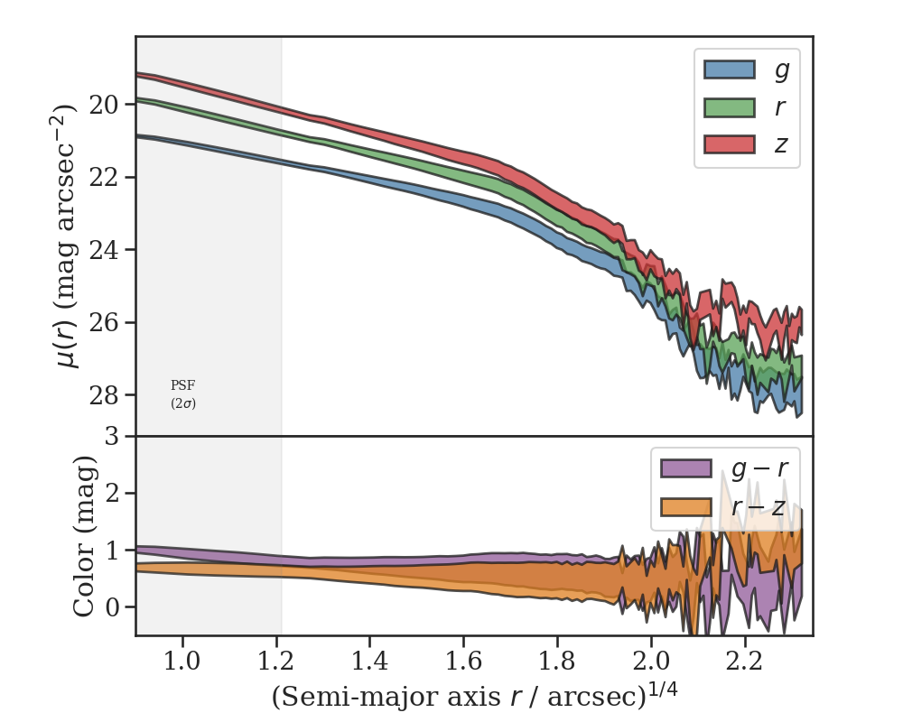
Elliptical Isophote Analysis
Geometry
This table provides several different measurements of the geometry and size of each galaxy.
Tractor |
HyperLeda |
Ellipse Moments |
Surface Brightness Threshold Radii (arcsec) |
Half-light Radii (arcsec) |
||||||||||||||
---|---|---|---|---|---|---|---|---|---|---|---|---|---|---|---|---|---|---|
SGA ID | Galaxy |
Type | n | r(50) (arcsec) | PA (degree) | e | R(25) | PA (degree) | e |
Size (arcsec) | PA (degree) | e |
R(24) | R(25) | R(26) |
g(50) | r(50) | z(50) |
169822 | PGC965551 | SER | 1.32 | 5.387 | 24.8 | 0.548 | 12.797 | 18.5 | 0.543 | 14.563 | 22.4 | 0.547 | 13.324 | 16.199 | 19.287 | 6.991 | 6.452 | 6.164 |
Photometry
This table provides the Tractor model photometry and the cumulative flux measured within the R(24), R(25), and R(26) radii (corresponding to the semi-major axis length of the galaxy at the 24, 25, and 26 magnitude per square arcsec surface brightness threshold, respectively).
Curve of Growth Photometry | ||||||||||||||||
---|---|---|---|---|---|---|---|---|---|---|---|---|---|---|---|---|
Tractor Photometry | < R(24) | < R(25) | < R(26) | Integrated | ||||||||||||
SGA ID | Galaxy | g | r | z | g | r | z | g | r | z | g | r | z | g | r | z |
169822 | PGC965551 | 16.915 | 16.209 | 15.634 | 16.949 | 16.244 | 15.704 | 16.864 | 16.175 | 15.641 | 16.828 | 16.145 | 15.612 | 16.768 | 16.102 | 15.568 |
PGC965551 (SGA ID 169822)
![]() |
|
![]() |
![]() |