PGC389713
Sky Viewer
Images & Catalogs
Group Properties
SGA ID of Primary Galaxy |
Group Name | Group RA (degree) |
Group Dec (degree) |
Group Diameter (arcmin) |
Mosaic Diameter (arcmin) |
Number of Group Members |
---|---|---|---|---|---|---|
169926 | PGC389713 | 58.6826070 | -57.4610469 | 0.380 | 1.141 | 1 |
Group Members
SGA ID | Galaxy | Visual Morphology |
RA (degree) |
Dec (degree) |
HyperLeda |
---|---|---|---|---|---|
169926 | PGC389713 | 58.6825819 | -57.4610482 | Link |
Image Mosaics
Color mosaics showing the data (left panel), model (middle panel), and residuals (right panel).
![]() |
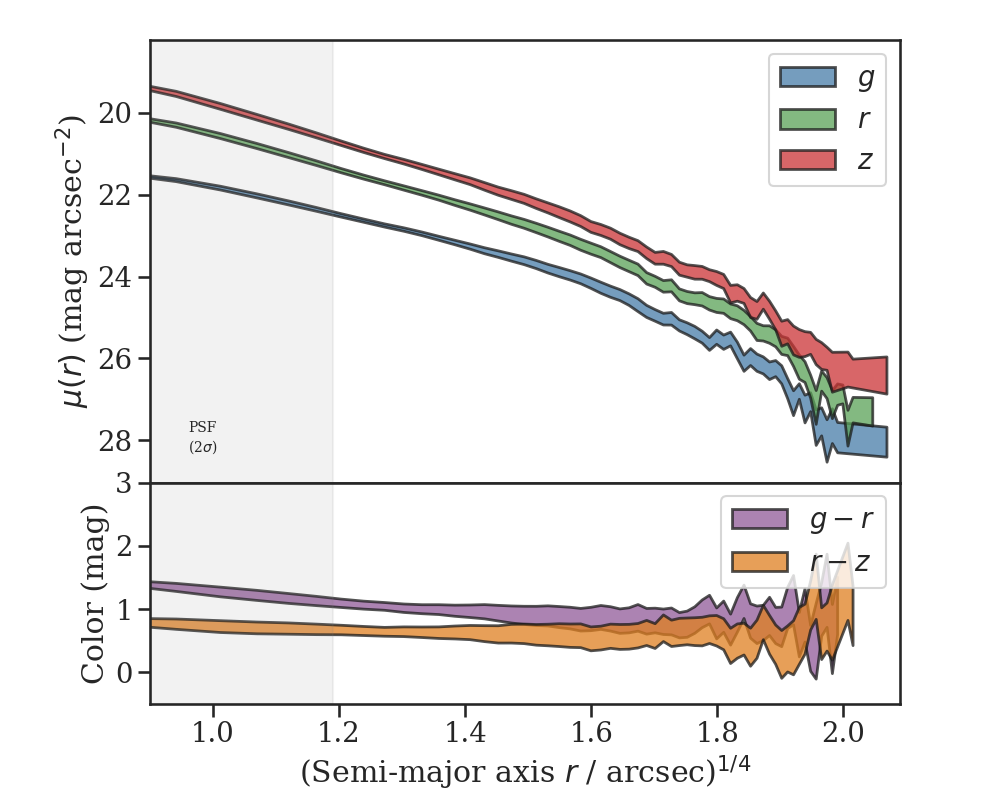
Elliptical Isophote Analysis
Geometry
This table provides several different measurements of the geometry and size of each galaxy.
Tractor |
HyperLeda |
Ellipse Moments |
Surface Brightness Threshold Radii (arcsec) |
Half-light Radii (arcsec) |
||||||||||||||
---|---|---|---|---|---|---|---|---|---|---|---|---|---|---|---|---|---|---|
SGA ID | Galaxy |
Type | n | r(50) (arcsec) | PA (degree) | e | R(25) | PA (degree) | e |
Size (arcsec) | PA (degree) | e |
R(24) | R(25) | R(26) |
g(50) | r(50) | z(50) |
169926 | PGC389713 | SER | 3.03 | 6.139 | 159.0 | 0.618 | 11.406 | 158.0 | 0.593 | 9.406 | 160.9 | 0.510 | 8.235 | 11.082 | 13.634 | 5.050 | 4.532 | 4.319 |
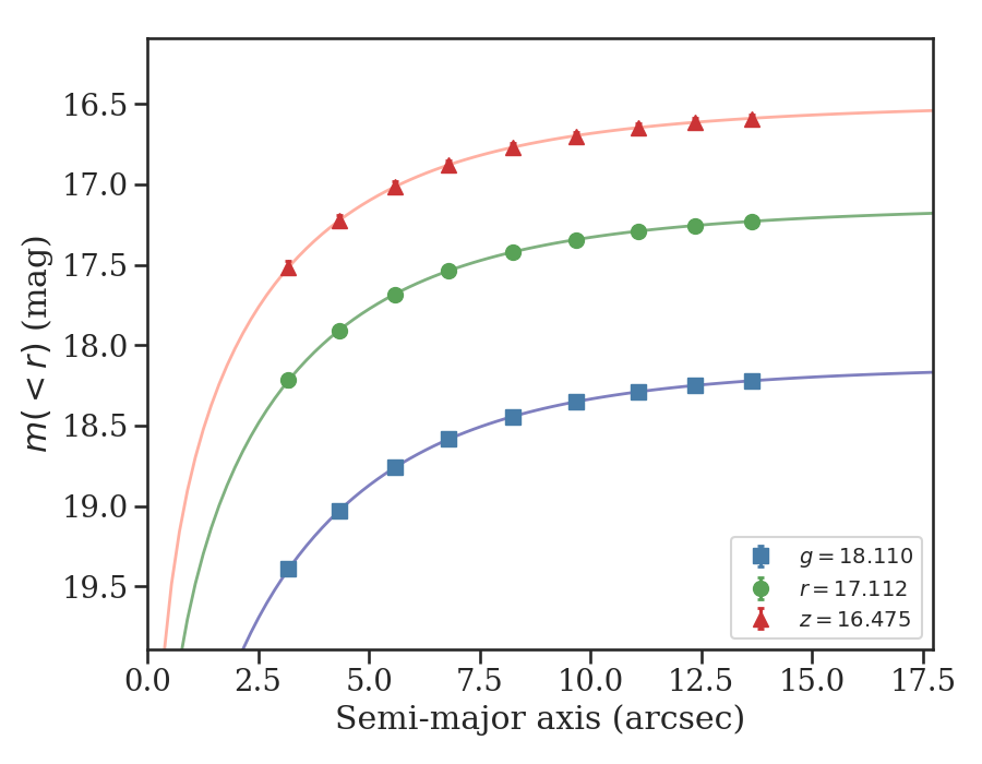
Photometry
This table provides the Tractor model photometry and the cumulative flux measured within the R(24), R(25), and R(26) radii (corresponding to the semi-major axis length of the galaxy at the 24, 25, and 26 magnitude per square arcsec surface brightness threshold, respectively).
Curve of Growth Photometry | ||||||||||||||||
---|---|---|---|---|---|---|---|---|---|---|---|---|---|---|---|---|
Tractor Photometry | < R(24) | < R(25) | < R(26) | Integrated | ||||||||||||
SGA ID | Galaxy | g | r | z | g | r | z | g | r | z | g | r | z | g | r | z |
169926 | PGC389713 | 18.055 | 16.992 | 16.310 | 18.444 | 17.420 | 16.771 | 18.291 | 17.292 | 16.645 | 18.221 | 17.230 | 16.591 | 18.110 | 17.112 | 16.475 |
PGC389713 (SGA ID 169926)
![]() |
|
![]() |
![]() |