PGC2506913 Group
Sky Viewer
Images & Catalogs
Group Properties
SGA ID of Primary Galaxy |
Group Name | Group RA (degree) |
Group Dec (degree) |
Group Diameter (arcmin) |
Mosaic Diameter (arcmin) |
Number of Group Members |
---|---|---|---|---|---|---|
727840 | PGC2506913_GROUP | 232.3100989 | 55.5731729 | 0.827 | 2.482 | 2 |
Group Members
SGA ID | Galaxy | Visual Morphology |
RA (degree) |
Dec (degree) |
HyperLeda |
---|---|---|---|---|---|
169850 | PGC2506887 | Sbc | 232.2998348 | 55.5727133 | Link | 727840 | PGC2506913 | Sb | 232.3170041 | 55.5734195 | Link |
Image Mosaics
Color mosaics showing the data (left panel), model (middle panel), and residuals (right panel).
![]() |
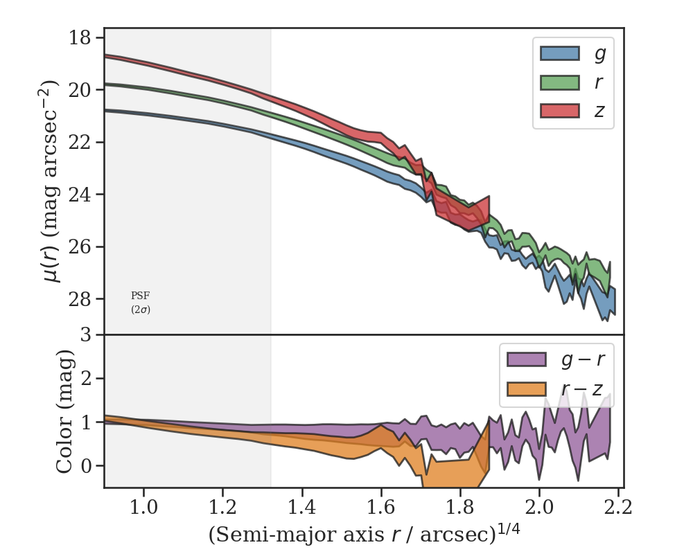
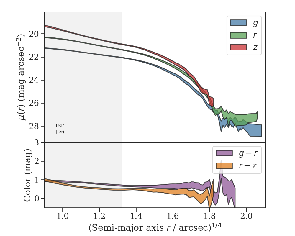
Elliptical Isophote Analysis
Geometry
This table provides several different measurements of the geometry and size of each galaxy.
Tractor |
HyperLeda |
Ellipse Moments |
Surface Brightness Threshold Radii (arcsec) |
Half-light Radii (arcsec) |
||||||||||||||
---|---|---|---|---|---|---|---|---|---|---|---|---|---|---|---|---|---|---|
SGA ID | Galaxy |
Type | n | r(50) (arcsec) | PA (degree) | e | R(25) | PA (degree) | e |
Size (arcsec) | PA (degree) | e |
R(24) | R(25) | R(26) |
g(50) | r(50) | z(50) |
169850 | PGC2506887 | EXP | 1.00 | 3.857 | 92.6 | 0.213 | 11.943 | 0.0 | 0.088 | 9.489 | 79.7 | 0.175 | 8.379 | 9.701 | 10.927 | 4.161 | 3.972 | 3.534 |
727840 | PGC2506913 | SER | 1.59 | 4.394 | 156.0 | 0.565 | 17.829 | 149.8 | 0.370 | 11.639 | 154.2 | 0.425 | 9.844 | 12.135 | 15.845 | 4.450 | 4.011 | 2.873 |
Photometry
This table provides the Tractor model photometry and the cumulative flux measured within the R(24), R(25), and R(26) radii (corresponding to the semi-major axis length of the galaxy at the 24, 25, and 26 magnitude per square arcsec surface brightness threshold, respectively).
Curve of Growth Photometry | ||||||||||||||||
---|---|---|---|---|---|---|---|---|---|---|---|---|---|---|---|---|
Tractor Photometry | < R(24) | < R(25) | < R(26) | Integrated | ||||||||||||
SGA ID | Galaxy | g | r | z | g | r | z | g | r | z | g | r | z | g | r | z |
169850 | PGC2506887 | 17.043 | 16.313 | 15.773 | 17.132 | 16.424 | 15.907 | 17.088 | 16.382 | 15.877 | 17.071 | 16.366 | 15.865 | 17.045 | 16.342 | 15.851 |
727840 | PGC2506913 | 16.928 | 16.102 | 15.456 | 17.153 | 16.345 | 15.741 | 17.091 | 16.296 | 15.728 | 17.047 | 16.258 | 15.721 | 17.016 | 16.243 | 15.722 |
PGC2506887 (SGA ID 169850)
![]() |
|
![]() |
![]() |
PGC2506913 (SGA ID 727840)
![]() |
|
![]() |
![]() |