PGC1844608
Sky Viewer
Images & Catalogs
Group Properties
SGA ID of Primary Galaxy |
Group Name | Group RA (degree) |
Group Dec (degree) |
Group Diameter (arcmin) |
Mosaic Diameter (arcmin) |
Number of Group Members |
---|---|---|---|---|---|---|
210158 | PGC1844608 | 199.6757085 | 28.7421358 | 0.646 | 1.937 | 1 |
Group Members
SGA ID | Galaxy | Visual Morphology |
RA (degree) |
Dec (degree) |
HyperLeda |
---|---|---|---|---|---|
210158 | PGC1844608 | Sc | 199.6758354 | 28.7422218 | Link |
Image Mosaics
Color mosaics showing the data (left panel), model (middle panel), and residuals (right panel).
![]() |
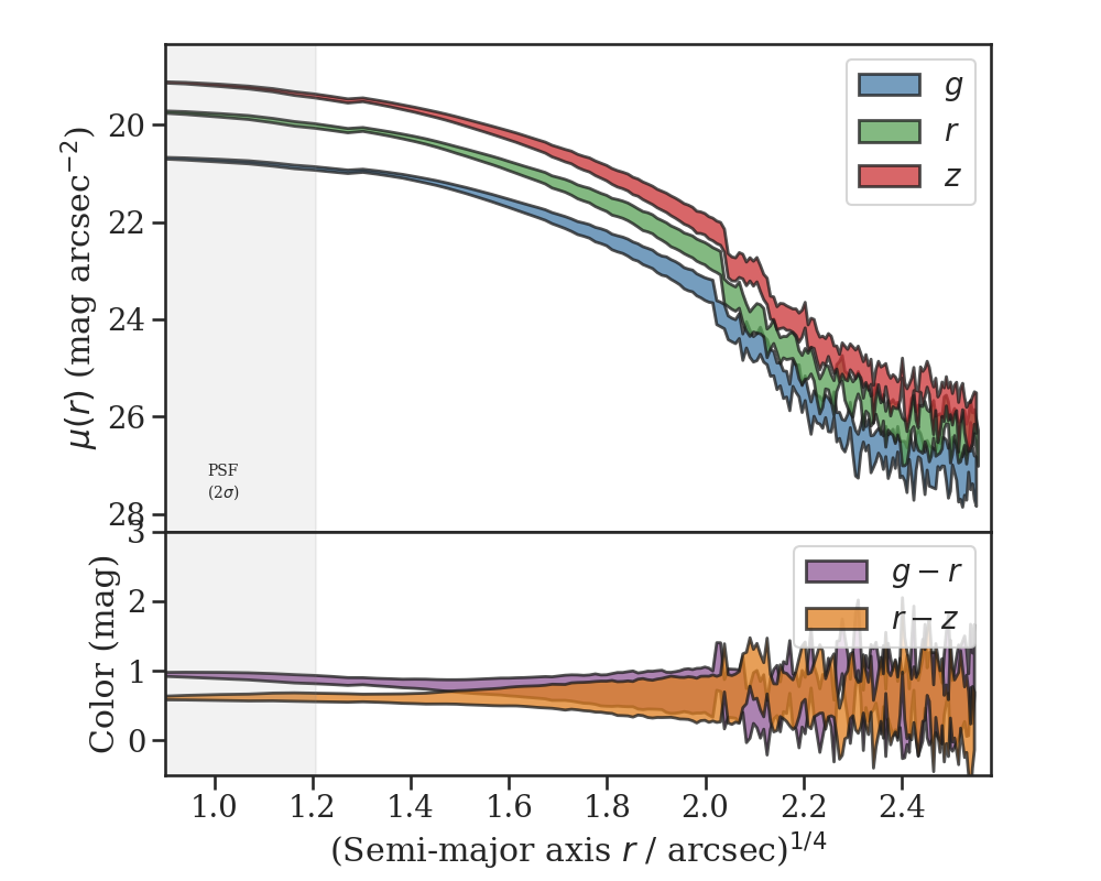
Elliptical Isophote Analysis
Geometry
This table provides several different measurements of the geometry and size of each galaxy.
Tractor |
HyperLeda |
Ellipse Moments |
Surface Brightness Threshold Radii (arcsec) |
Half-light Radii (arcsec) |
||||||||||||||
---|---|---|---|---|---|---|---|---|---|---|---|---|---|---|---|---|---|---|
SGA ID | Galaxy |
Type | n | r(50) (arcsec) | PA (degree) | e | R(25) | PA (degree) | e |
Size (arcsec) | PA (degree) | e |
R(24) | R(25) | R(26) |
g(50) | r(50) | z(50) |
210158 | PGC1844608 | SER | 0.73 | 8.179 | 120.5 | 0.779 | 19.370 | 122.9 | 0.645 | 21.371 | 120.4 | 0.745 | 19.774 | 25.070 | 33.046 | 9.486 | 9.206 | 8.957 |
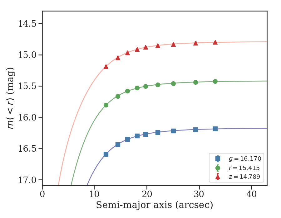
Photometry
This table provides the Tractor model photometry and the cumulative flux measured within the R(24), R(25), and R(26) radii (corresponding to the semi-major axis length of the galaxy at the 24, 25, and 26 magnitude per square arcsec surface brightness threshold, respectively).
Curve of Growth Photometry | ||||||||||||||||
---|---|---|---|---|---|---|---|---|---|---|---|---|---|---|---|---|
Tractor Photometry | < R(24) | < R(25) | < R(26) | Integrated | ||||||||||||
SGA ID | Galaxy | g | r | z | g | r | z | g | r | z | g | r | z | g | r | z |
210158 | PGC1844608 | 16.199 | 15.449 | 14.830 | 16.270 | 15.505 | 14.880 | 16.219 | 15.460 | 14.833 | 16.184 | 15.427 | 14.800 | 16.170 | 15.415 | 14.789 |
PGC1844608 (SGA ID 210158)
![]() |
|
![]() |
![]() |