PGC176214
Sky Viewer
Images & Catalogs
Group Properties
SGA ID of Primary Galaxy |
Group Name | Group RA (degree) |
Group Dec (degree) |
Group Diameter (arcmin) |
Mosaic Diameter (arcmin) |
Number of Group Members |
---|---|---|---|---|---|---|
169882 | PGC176214 | 51.8483955 | -2.9119444 | 0.432 | 1.295 | 1 |
Group Members
SGA ID | Galaxy | Visual Morphology |
RA (degree) |
Dec (degree) |
HyperLeda |
---|---|---|---|---|---|
169882 | PGC176214 | 51.8484627 | -2.9120242 | Link |
Image Mosaics
Color mosaics showing the data (left panel), model (middle panel), and residuals (right panel).
![]() |
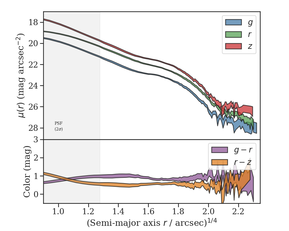
Elliptical Isophote Analysis
Geometry
This table provides several different measurements of the geometry and size of each galaxy.
Tractor |
HyperLeda |
Ellipse Moments |
Surface Brightness Threshold Radii (arcsec) |
Half-light Radii (arcsec) |
||||||||||||||
---|---|---|---|---|---|---|---|---|---|---|---|---|---|---|---|---|---|---|
SGA ID | Galaxy |
Type | n | r(50) (arcsec) | PA (degree) | e | R(25) | PA (degree) | e |
Size (arcsec) | PA (degree) | e |
R(24) | R(25) | R(26) |
g(50) | r(50) | z(50) |
169882 | PGC176214 | SER | 4.41 | 6.116 | 67.8 | 0.385 | 12.946 | 74.0 | 0.363 | 14.643 | 78.8 | 0.312 | 13.154 | 15.461 | 18.645 | 4.746 | 4.545 | 4.095 |
Photometry
This table provides the Tractor model photometry and the cumulative flux measured within the R(24), R(25), and R(26) radii (corresponding to the semi-major axis length of the galaxy at the 24, 25, and 26 magnitude per square arcsec surface brightness threshold, respectively).
Curve of Growth Photometry | ||||||||||||||||
---|---|---|---|---|---|---|---|---|---|---|---|---|---|---|---|---|
Tractor Photometry | < R(24) | < R(25) | < R(26) | Integrated | ||||||||||||
SGA ID | Galaxy | g | r | z | g | r | z | g | r | z | g | r | z | g | r | z |
169882 | PGC176214 | 16.100 | 15.194 | 14.530 | 16.318 | 15.447 | 14.803 | 16.281 | 15.408 | 14.767 | 16.262 | 15.388 | 14.750 | 16.255 | 15.376 | 14.742 |
PGC176214 (SGA ID 169882)
![]() |
|
![]() |
![]() |