PGC1229542
Sky Viewer
Images & Catalogs
Group Properties
SGA ID of Primary Galaxy |
Group Name | Group RA (degree) |
Group Dec (degree) |
Group Diameter (arcmin) |
Mosaic Diameter (arcmin) |
Number of Group Members |
---|---|---|---|---|---|---|
169929 | PGC1229542 | 321.8106081 | 2.5221892 | 0.575 | 1.726 | 1 |
Group Members
SGA ID | Galaxy | Visual Morphology |
RA (degree) |
Dec (degree) |
HyperLeda |
---|---|---|---|---|---|
169929 | PGC1229542 | 321.8106226 | 2.5222130 | Link |
Image Mosaics
Color mosaics showing the data (left panel), model (middle panel), and residuals (right panel).
![]() |
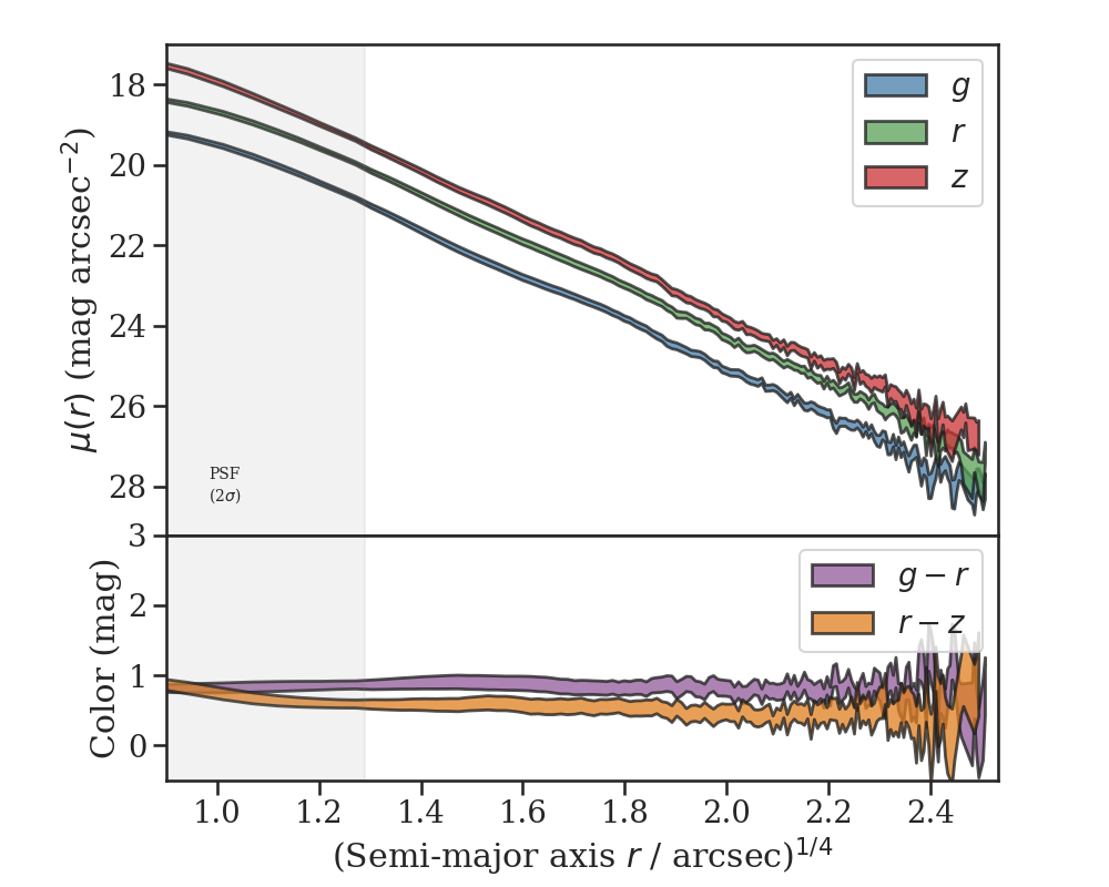
Elliptical Isophote Analysis
Geometry
This table provides several different measurements of the geometry and size of each galaxy.
Tractor |
HyperLeda |
Ellipse Moments |
Surface Brightness Threshold Radii (arcsec) |
Half-light Radii (arcsec) |
||||||||||||||
---|---|---|---|---|---|---|---|---|---|---|---|---|---|---|---|---|---|---|
SGA ID | Galaxy |
Type | n | r(50) (arcsec) | PA (degree) | e | R(25) | PA (degree) | e |
Size (arcsec) | PA (degree) | e |
R(24) | R(25) | R(26) |
g(50) | r(50) | z(50) |
169929 | PGC1229542 | SER | 4.25 | 5.104 | 171.0 | 0.316 | 17.263 | 177.5 | 0.543 | 19.788 | 168.7 | 0.318 | 14.725 | 20.400 | 27.728 | 5.480 | 5.293 | 4.728 |
Photometry
This table provides the Tractor model photometry and the cumulative flux measured within the R(24), R(25), and R(26) radii (corresponding to the semi-major axis length of the galaxy at the 24, 25, and 26 magnitude per square arcsec surface brightness threshold, respectively).
Curve of Growth Photometry | ||||||||||||||||
---|---|---|---|---|---|---|---|---|---|---|---|---|---|---|---|---|
Tractor Photometry | < R(24) | < R(25) | < R(26) | Integrated | ||||||||||||
SGA ID | Galaxy | g | r | z | g | r | z | g | r | z | g | r | z | g | r | z |
169929 | PGC1229542 | 15.842 | 14.969 | 14.332 | 16.045 | 15.191 | 14.569 | 15.959 | 15.109 | 14.500 | 15.900 | 15.052 | 14.450 | 15.778 | 14.939 | 14.358 |
PGC1229542 (SGA ID 169929)
![]() |
|
![]() |
![]() |