PGC037895 Group
Sky Viewer
Images & Catalogs
Group Properties
| SGA ID of Primary Galaxy |
Group Name | Group RA (degree) |
Group Dec (degree) |
Group Diameter (arcmin) |
Mosaic Diameter (arcmin) |
Number of Group Members |
|---|---|---|---|---|---|---|
| 213884 | PGC037895_GROUP | 180.2242590 | 13.7463779 | 1.463 | 4.390 | 2 |
Group Members
| SGA ID | Galaxy | Visual Morphology |
RA (degree) |
Dec (degree) |
HyperLeda |
|---|---|---|---|---|---|
| 213884 | PGC037895 | E | 180.2202256 | 13.7482755 | Link | 815468 | PGC1439186 | E | 180.2348608 | 13.7414208 | Link |
Image Mosaics
Color mosaics showing the data (left panel), model (middle panel), and residuals (right panel).
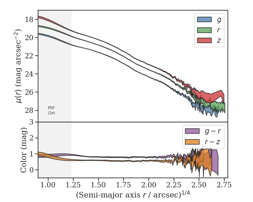
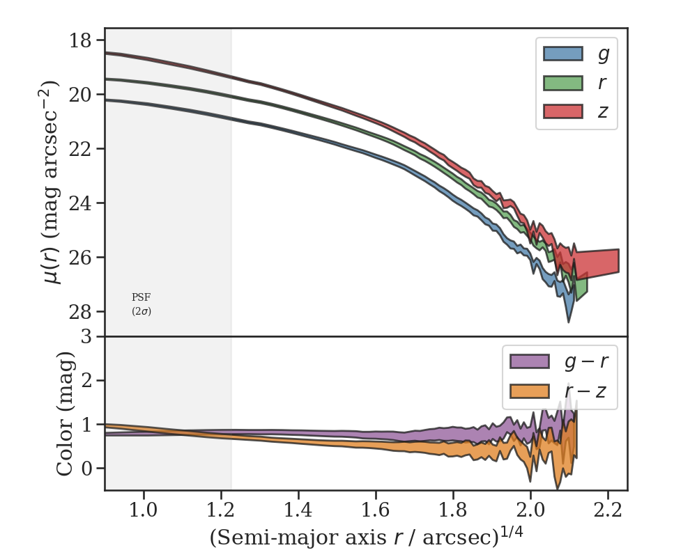
Elliptical Isophote Analysis
Geometry
This table provides several different measurements of the geometry and size of each galaxy.
Tractor |
HyperLeda |
Ellipse Moments |
Surface Brightness Threshold Radii (arcsec) |
Half-light Radii (arcsec) |
||||||||||||||
|---|---|---|---|---|---|---|---|---|---|---|---|---|---|---|---|---|---|---|
| SGA ID | Galaxy |
Type | n | r(50) (arcsec) | PA (degree) | e | R(25) | PA (degree) | e |
Size (arcsec) | PA (degree) | e |
R(24) | R(25) | R(26) |
g(50) | r(50) | z(50) |
| 213884 | PGC037895 | SER | 3.01 | 8.312 | 84.2 | 0.005 | 36.068 | 0.0 | 0.000 | 29.225 | 54.8 | 0.070 | 19.129 | 26.000 | 32.907 | 8.106 | 7.692 | 7.137 |
| 815468 | PGC1439186 | SER | 1.39 | 4.965 | 113.8 | 0.616 | 13.713 | 110.7 | 0.487 | 14.098 | 113.7 | 0.590 | 12.829 | 15.374 | 17.965 | 5.224 | 5.090 | 4.682 |
Photometry
This table provides the Tractor model photometry and the cumulative flux measured within the R(24), R(25), and R(26) radii (corresponding to the semi-major axis length of the galaxy at the 24, 25, and 26 magnitude per square arcsec surface brightness threshold, respectively).
| Curve of Growth Photometry | ||||||||||||||||
|---|---|---|---|---|---|---|---|---|---|---|---|---|---|---|---|---|
| Tractor Photometry | < R(24) | < R(25) | < R(26) | Integrated | ||||||||||||
| SGA ID | Galaxy | g | r | z | g | r | z | g | r | z | g | r | z | g | r | z |
| 213884 | PGC037895 | 15.062 | 14.211 | 13.570 | 15.301 | 14.479 | 13.861 | 15.202 | 14.380 | 13.769 | 15.154 | 14.335 | 13.725 | 15.013 | 14.207 | 13.604 |
| 815468 | PGC1439186 | 16.611 | 15.813 | 15.167 | 16.665 | 15.888 | 15.278 | 16.630 | 15.851 | 15.246 | 16.614 | 15.834 | 15.232 | 16.594 | 15.811 | 15.211 |
PGC037895 (SGA ID 213884)
![]() |
![]() |
PGC1439186 (SGA ID 815468)
![]() |
![]() |



