PGC033000 Group
Sky Viewer
Images & Catalogs
Group Properties
SGA ID of Primary Galaxy |
Group Name | Group RA (degree) |
Group Dec (degree) |
Group Diameter (arcmin) |
Mosaic Diameter (arcmin) |
Number of Group Members |
---|---|---|---|---|---|---|
539379 | PGC033000_GROUP | 164.5532768 | 1.6072102 | 1.735 | 5.205 | 4 |
Group Members
SGA ID | Galaxy | Visual Morphology |
RA (degree) |
Dec (degree) |
HyperLeda |
---|---|---|---|---|---|
51217 | PGC083398 | E | 164.5543546 | 1.6068692 | Link | 169852 | PGC083399 | S0 | 164.5573534 | 1.6017426 | Link | 539379 | PGC033000 | E | 164.5457943 | 1.6045627 | Link | 1019907 | PGC083400 | E | 164.5634693 | 1.6159806 | Link |
Image Mosaics
Color mosaics showing the data (left panel), model (middle panel), and residuals (right panel).
![]() |
Elliptical Isophote Analysis
Geometry
This table provides several different measurements of the geometry and size of each galaxy.
Tractor |
HyperLeda |
Ellipse Moments |
Surface Brightness Threshold Radii (arcsec) |
Half-light Radii (arcsec) |
||||||||||||||
---|---|---|---|---|---|---|---|---|---|---|---|---|---|---|---|---|---|---|
SGA ID | Galaxy |
Type | n | r(50) (arcsec) | PA (degree) | e | R(25) | PA (degree) | e |
Size (arcsec) | PA (degree) | e |
R(24) | R(25) | R(26) |
g(50) | r(50) | z(50) |
51217 | PGC083398 | SER | 3.97 | 4.650 | 158.8 | 0.253 | 25.534 | 144.5 | 0.397 | 28.728 | 150.1 | 0.324 | ... | ... | ... | ... | ... | ... |
169852 | PGC083399 | SER | 4.13 | 4.254 | 129.5 | 0.343 | 13.035 | 116.7 | 0.467 | 12.432 | 102.3 | 0.417 | 9.051 | 12.979 | 17.765 | 5.371 | 5.153 | 4.886 |
539379 | PGC033000 | SER | 4.00 | 14.822 | 109.7 | 0.111 | 37.768 | 94.5 | 0.463 | 55.006 | 100.8 | 0.198 | 32.214 | 45.520 | 65.546 | 14.482 | 14.348 | 13.375 |
1019907 | PGC083400 | SER | 5.17 | 5.393 | 108.0 | 0.178 | 20.004 | 91.1 | 0.259 | 25.092 | 91.1 | 0.089 | ... | ... | ... | ... | ... | ... |
Photometry
This table provides the Tractor model photometry and the cumulative flux measured within the R(24), R(25), and R(26) radii (corresponding to the semi-major axis length of the galaxy at the 24, 25, and 26 magnitude per square arcsec surface brightness threshold, respectively).
Curve of Growth Photometry | ||||||||||||||||
---|---|---|---|---|---|---|---|---|---|---|---|---|---|---|---|---|
Tractor Photometry | < R(24) | < R(25) | < R(26) | Integrated | ||||||||||||
SGA ID | Galaxy | g | r | z | g | r | z | g | r | z | g | r | z | g | r | z |
51217 | PGC083398 | 15.369 | 14.474 | 13.802 | ... | ... | ... | ... | ... | ... | ... | ... | ... | ... | ... | ... |
169852 | PGC083399 | 16.658 | 15.829 | 15.230 | 17.444 | 16.753 | 16.121 | 17.320 | 16.631 | 15.995 | 17.240 | 16.548 | 15.927 | 16.936 | 16.292 | 15.663 |
539379 | PGC033000 | 14.341 | 13.435 | 12.718 | 14.491 | 13.600 | 12.914 | 14.365 | 13.486 | 12.804 | 14.281 | 13.401 | 12.725 | 14.192 | 13.286 | 12.640 |
1019907 | PGC083400 | 15.212 | 14.310 | 13.633 | ... | ... | ... | ... | ... | ... | ... | ... | ... | ... | ... | ... |
PGC083398 (SGA ID 51217)
Ellipse-fitting not done or failed.
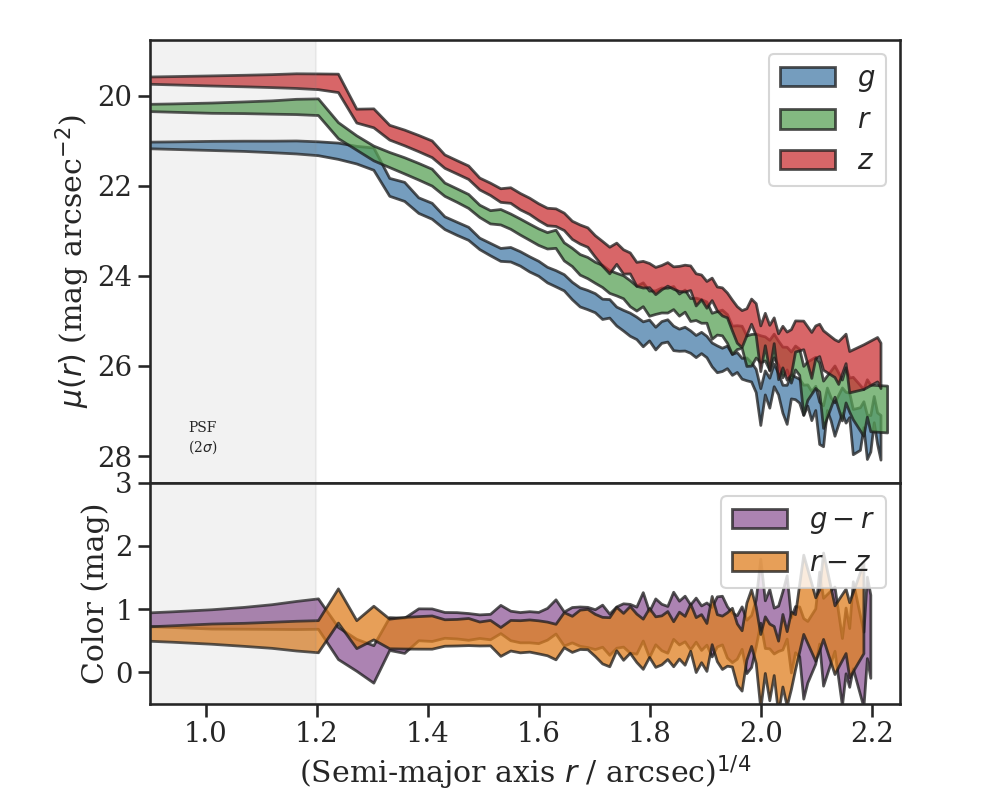
PGC083399 (SGA ID 169852)
![]() |
|
![]() |
![]() |
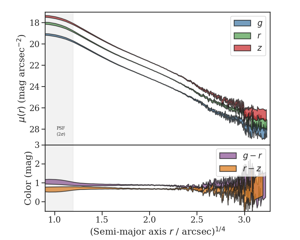
PGC033000 (SGA ID 539379)
![]() |
|
![]() |
![]() |
PGC083400 (SGA ID 1019907)
Ellipse-fitting not done or failed.