ESO412-002 Group
Sky Viewer
Images & Catalogs
Group Properties
SGA ID of Primary Galaxy |
Group Name | Group RA (degree) |
Group Dec (degree) |
Group Diameter (arcmin) |
Mosaic Diameter (arcmin) |
Number of Group Members |
---|---|---|---|---|---|---|
1403313 | ESO412-002_GROUP | 15.1931475 | -30.9301991 | 0.989 | 2.968 | 2 |
Group Members
SGA ID | Galaxy | Visual Morphology |
RA (degree) |
Dec (degree) |
HyperLeda |
---|---|---|---|---|---|
62434 | PGC711271 | 15.2006743 | -30.9301961 | Link | 1403313 | ESO412-002 | I | 15.1857899 | -30.9302647 | Link |
Image Mosaics
Color mosaics showing the data (left panel), model (middle panel), and residuals (right panel).
![]() |
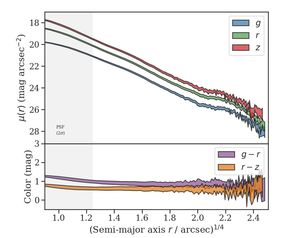
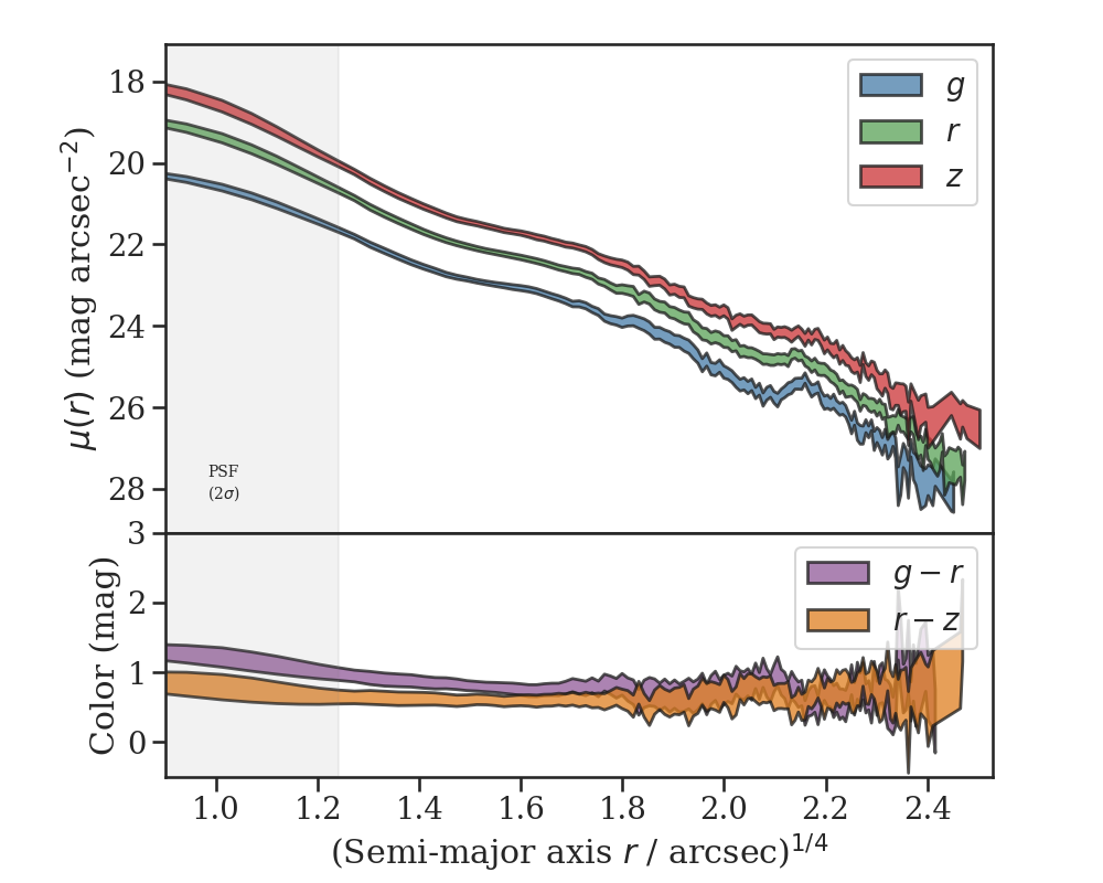
Elliptical Isophote Analysis
Geometry
This table provides several different measurements of the geometry and size of each galaxy.
Tractor |
HyperLeda |
Ellipse Moments |
Surface Brightness Threshold Radii (arcsec) |
Half-light Radii (arcsec) |
||||||||||||||
---|---|---|---|---|---|---|---|---|---|---|---|---|---|---|---|---|---|---|
SGA ID | Galaxy |
Type | n | r(50) (arcsec) | PA (degree) | e | R(25) | PA (degree) | e |
Size (arcsec) | PA (degree) | e |
R(24) | R(25) | R(26) |
g(50) | r(50) | z(50) |
62434 | PGC711271 | SER | 4.62 | 5.185 | 160.8 | 0.356 | 18.077 | 169.5 | 0.543 | 19.187 | 170.3 | 0.442 | 13.241 | 20.554 | 28.987 | 9.583 | 8.413 | 6.941 |
1403313 | ESO412-002 | SER | 6.00 | 21.122 | 40.1 | 0.233 | 18.160 | 69.3 | 0.373 | 22.321 | 57.9 | 0.354 | 14.679 | 20.909 | 27.850 | 10.043 | 8.667 | 9.493 |
Photometry
This table provides the Tractor model photometry and the cumulative flux measured within the R(24), R(25), and R(26) radii (corresponding to the semi-major axis length of the galaxy at the 24, 25, and 26 magnitude per square arcsec surface brightness threshold, respectively).
Curve of Growth Photometry | ||||||||||||||||
---|---|---|---|---|---|---|---|---|---|---|---|---|---|---|---|---|
Tractor Photometry | < R(24) | < R(25) | < R(26) | Integrated | ||||||||||||
SGA ID | Galaxy | g | r | z | g | r | z | g | r | z | g | r | z | g | r | z |
62434 | PGC711271 | 16.408 | 15.423 | 14.759 | 16.659 | 15.691 | 15.051 | 16.528 | 15.572 | 14.938 | 16.421 | 15.478 | 14.853 | 16.040 | 15.108 | 14.542 |
1403313 | ESO412-002 | 15.849 | 14.966 | 14.226 | 16.685 | 15.805 | 15.155 | 16.537 | 15.668 | 15.013 | 16.417 | 15.569 | 14.910 | 16.205 | 15.386 | 14.655 |
PGC711271 (SGA ID 62434)
![]() |
|
![]() |
![]() |
ESO412-002 (SGA ID 1403313)
![]() |
|
![]() |
![]() |