2MASXJ13444364+0255164
Sky Viewer
Images & Catalogs
Group Properties
SGA ID of Primary Galaxy |
Group Name | Group RA (degree) |
Group Dec (degree) |
Group Diameter (arcmin) |
Mosaic Diameter (arcmin) |
Number of Group Members |
---|---|---|---|---|---|---|
168904 | 2MASXJ13444364+0255164 | 206.1819390 | 2.9212326 | 0.455 | 1.365 | 1 |
Group Members
SGA ID | Galaxy | Visual Morphology |
RA (degree) |
Dec (degree) |
HyperLeda |
---|---|---|---|---|---|
168904 | 2MASXJ13444364+0255164 | E | 206.1819864 | 2.9212874 | Link |
Image Mosaics
Color mosaics showing the data (left panel), model (middle panel), and residuals (right panel).
![]() |
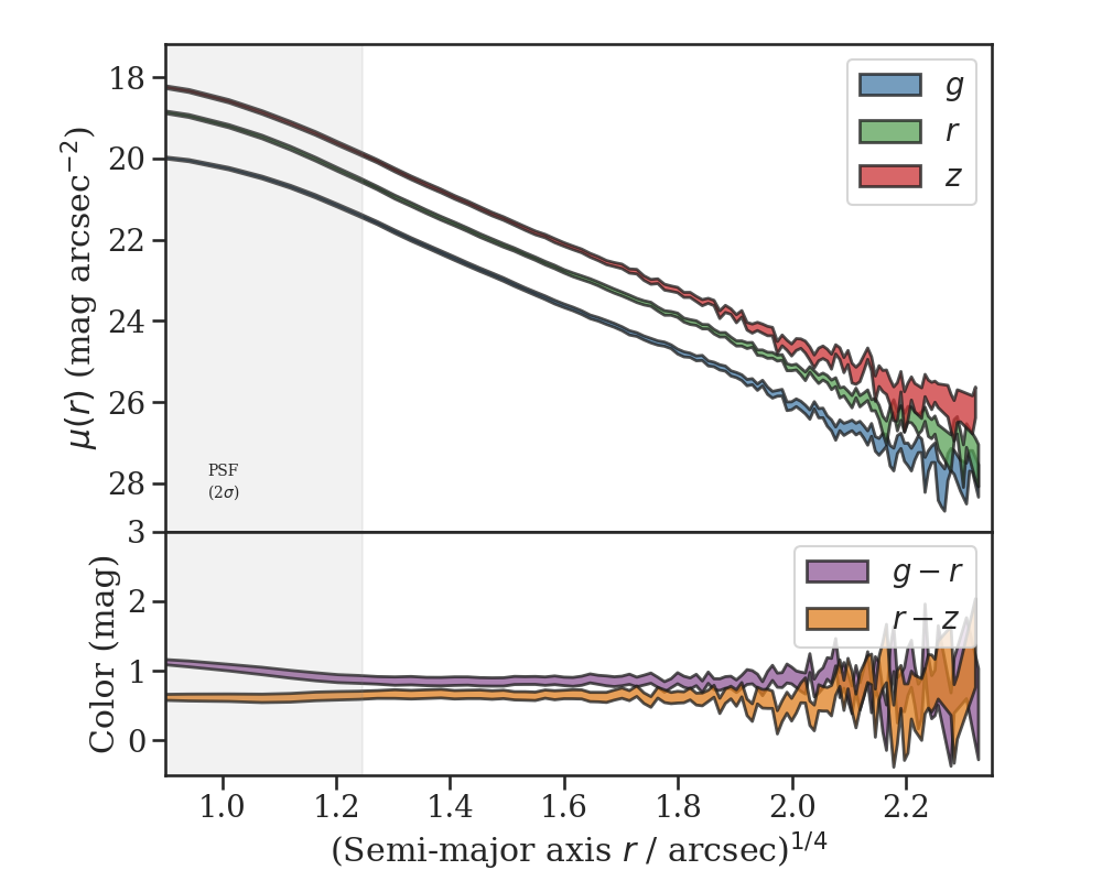
Elliptical Isophote Analysis
Geometry
This table provides several different measurements of the geometry and size of each galaxy.
Tractor |
HyperLeda |
Ellipse Moments |
Surface Brightness Threshold Radii (arcsec) |
Half-light Radii (arcsec) |
||||||||||||||
---|---|---|---|---|---|---|---|---|---|---|---|---|---|---|---|---|---|---|
SGA ID | Galaxy |
Type | n | r(50) (arcsec) | PA (degree) | e | R(25) | PA (degree) | e |
Size (arcsec) | PA (degree) | e |
R(24) | R(25) | R(26) |
g(50) | r(50) | z(50) |
168904 | 2MASXJ13444364+0255164 | SER | 3.88 | 3.935 | 49.7 | 0.264 | 13.650 | 33.1 | 0.245 | 14.743 | 48.7 | 0.215 | 10.914 | 15.439 | 20.921 | 4.484 | 4.291 | 4.328 |
Photometry
This table provides the Tractor model photometry and the cumulative flux measured within the R(24), R(25), and R(26) radii (corresponding to the semi-major axis length of the galaxy at the 24, 25, and 26 magnitude per square arcsec surface brightness threshold, respectively).
Curve of Growth Photometry | ||||||||||||||||
---|---|---|---|---|---|---|---|---|---|---|---|---|---|---|---|---|
Tractor Photometry | < R(24) | < R(25) | < R(26) | Integrated | ||||||||||||
SGA ID | Galaxy | g | r | z | g | r | z | g | r | z | g | r | z | g | r | z |
168904 | 2MASXJ13444364+0255164 | 16.584 | 15.658 | 15.011 | 16.781 | 15.862 | 15.223 | 16.666 | 15.754 | 15.120 | 16.600 | 15.689 | 15.054 | 16.478 | 15.553 | 14.915 |
2MASXJ13444364+0255164 (SGA ID 168904)
![]() |
|
![]() |
![]() |